Binomial Theorem
1.द्विपद प्रमेय (Binomial Theorem,Binomial Theorem of Class 11th)-
(1.)द्विपद प्रमेय (Binomial Theorem)-किसी द्विपद के प्रसार करने की विधि को बताने वाले प्रमेय को कहते हैं।
(2.)द्विपद (Binomial)-दो पद वाला कोई भी बीजीय व्यंजक,द्विपद व्यंजक अथवा केवल द्विपद कहलाता है। दोनों परस्पर धन अथवा ऋण चिन्ह द्वारा जुड़े रहते हैं।
(3.)द्विपद प्रमेय (Binomial Theorem),द्विपद प्रमेय परिभाषा (Binomial Theorem Definition)-जिस सूत्र के द्वारा किसी द्विपद व्यंजक { \left( x+a \right) }^{ n } के किसी भी घात का विस्तार (Expression) एक श्रेणी के रूप में किया जाता है,उस सूत्र को द्विपद प्रमेय (Binomial Theorem) कहते हैं।
(4.)द्विपद गुणांक (Binomial Coefficient)-द्विपद व्यंजक के विस्तार में x की विभिन्न घातों के गुणांक द्विपद गुणांक कहलाते हैं।
आपको यह जानकारी रोचक व ज्ञानवर्धक लगे तो अपने मित्रों के साथ इस गणित के आर्टिकल को शेयर करें।यदि आप इस वेबसाइट पर पहली बार आए हैं तो वेबसाइट को फॉलो करें और ईमेल सब्सक्रिप्शन को भी फॉलो करें।जिससे नए आर्टिकल का नोटिफिकेशन आपको मिल सके ।यदि आर्टिकल पसन्द आए तो अपने मित्रों के साथ शेयर और लाईक करें जिससे वे भी लाभ उठाए ।आपकी कोई समस्या हो या कोई सुझाव देना चाहते हैं तो कमेंट करके बताएं। इस आर्टिकल को पूरा पढ़ें।
Also Read This Article:-Coefficient in binomial expansion
2.धन पूर्णांक घातांक के लिए द्विपद प्रमेय (Binomial Theorem for Positive Index),द्विपद प्रमेय प्रमाण (Binomial Theorem Proof)-
{ \left( x+a \right) }^{ n }={ { n }_{ C } }_{ 0 }{ x }^{ n }+{ { n }_{ C } }_{ 1 }{ x }^{ n-1 }a+{ { n }_{ C } }_{ 2 }{ x }^{ n-2 }{ a }^{ 2 }+........+{ { n }_{ C } }_{ r }{ x }^{ n-r }{ a }^{ r }+..........+{ { n }_{ C } }_{ n }{ a }^{ n }
उपपत्ति (Proof):इस प्रमेय को हम गणितीय आगमन सिद्धान्त से सिद्ध करेंगे
{ \left( x+a \right) }^{ 1 }=x+a={ { 1 }_{ C } }_{ 0 }{ x }^{ 1 }+{ { 1 }_{ C } }_{ 1 }{ x }^{ 1-1 }a...........(1)\\ { \left( x+a \right) }^{ 2 }={ x }^{ 2 }+2ax+{ a }^{ 2 }\\ ={ { 2 }_{ C } }_{ 0 }{ x }^{ 2 }+{ { 2 }_{ C } }_{ 1 }{ x }^{ 2-1 }a+{ { 2 }_{ C } }_{ 2 }{ x }^{ 2-2 }{ a }^{ 2 }............(2)
समीकरण (1) व (2) से स्पष्ट है कि प्रमेय n=1 एवं n=2 के लिए सत्य है।माना कि प्रमेय किसी धन पूर्णांक n=m के लिए सत्य है।
तब { \left( x+a \right) }^{ m }={ { m }_{ C } }_{ 0 }{ x }^{ m }+{ { m }_{ C } }_{ 1 }{ x }^{ m-1 }a+{ { m }_{ C } }_{ 2 }{ x }^{ m-2 }{ a }^{ 2 }+........+{ m_{ C } }_{ r }{ x }^{ m-r }{ a }^{ r }+..........+{ { m }_{ C } }_{ m }{ a }^{ m }...........(3)
दोनों पक्षों को (x+a) से गुणा करने पर-
\left( x+a \right) .{ \left( x+a \right) }^{ m }=\left( x+a \right) .[{ { m }_{ C } }_{ 0 }{ x }^{ m }+{ { m }_{ C } }_{ 1 }{ x }^{ m-1 }a+{ { m }_{ C } }_{ 2 }{ x }^{ m-2 }{ a }^{ 2 }+........+{ m_{ C } }_{ r }{ x }^{ m-r }{ a }^{ r }+..........+{ { m }_{ C } }_{ m }{ a }^{ m }]\\ \Rightarrow { \left( x+a \right) }^{ m+1 }=x[{ { m }_{ C } }_{ 0 }{ x }^{ m }+{ { m }_{ C } }_{ 1 }{ x }^{ m-1 }a+{ { m }_{ C } }_{ 2 }{ x }^{ m-2 }{ a }^{ 2 }+........+{ m_{ C } }_{ r }{ x }^{ m-r }{ a }^{ r }+..........+{ { m }_{ C } }_{ m }{ a }^{ m }]+a[{ { m }_{ C } }_{ 0 }{ x }^{ m }+{ { m }_{ C } }_{ 1 }{ x }^{ m-1 }a+{ { m }_{ C } }_{ 2 }{ x }^{ m-2 }{ a }^{ 2 }+........+{ m_{ C } }_{ r }{ x }^{ m-r }{ a }^{ r }+..........+{ { m }_{ C } }_{ m }{ a }^{ m }]\\ \Rightarrow { \left( x+a \right) }^{ m+1 }={ { m }_{ C } }_{ 0 }{ x }^{ m }+\left( { { m }_{ C } }_{ 1 }+{ { m }_{ C } }_{ 0 } \right) { x }^{ m }a+\left( { { m }_{ C } }_{ 2 }+{ { m }_{ C } }_{ 1 } \right) { x }^{ m-1 }{ a }^{ 2 }+\left( { { m }_{ C } }_{ 3 }+{ { m }_{ C } }_{ 2 } \right) { x }^{ m-2 }{ a }^{ 3 }+.............+\left( { { m }_{ C } }_{ r }+{ { m }_{ C } }_{ r-1 } \right) { x }^{ m-r+1 }{ a }^{ r }+...........+{ { m }_{ C } }_{ m }{ a }^{ m+1 }\\ \because { { m }_{ C } }_{ 1 }+{ { m }_{ C } }_{ 0 }={ { _{ \quad }^{ m+1 }{ c } } }_{ 1 }\\ { { m }_{ C } }_{ 2 }+{ { m }_{ C } }_{ 1 }={ { _{ \quad }^{ m+1 }{ c } } }_{ 2 }\\ ........................\\ { { m }_{ C } }_{ r }+{ { m }_{ C } }_{ r-1 }={ { _{ \quad }^{ m+1 }{ c } } }_{ r }
एवं { { m }_{ C } }_{ m }={ { m+1 }_{ C } }_{ m+1 }={ { m }_{ C } }_{ 0 }={ { m+1 }_{ C } }_{ 0 }=1
अतः { \left( x+a \right) }^{ m+1 }={ { m+1 }_{ C } }_{ 0 }{ x }^{ m+1 }+{ { m+1 }_{ C } }_{ 1 }{ x }^{ m }a+{ { m+1 }_{ C } }_{ 2 }{ x }^{ m-1 }{ a }^{ 2 }+........+{ m+1_{ C } }_{ r }{ x }^{ m-r+1 }{ a }^{ r }+..........+{ { m+1 }_{ C } }_{ m+1 }{ a }^{ m+1 }..........(4)
(4) से स्पष्ट है कि प्रमेय n=m+1 के लिए भी सत्य है।
अतः गणितीय आगमन सिद्धान्त से यह प्रमेय प्रत्येक धन पूर्णांक के लिए सत्य है। अर्थात् n कोई धनात्मक पूर्णांक हो,तब
{ \left( x+a \right) }^{ n }={ { n }_{ C } }_{ 0 }{ x }^{ n }+{ { n }_{ C } }_{ 1 }{ x }^{ n-1 }a+{ { n }_{ C } }_{ 2 }{ x }^{ n-2 }{ a }^{ 2 }+........+{ { n }_{ C } }_{ r }{ x }^{ n-r }{ a }^{ r }+..........+{ { n }_{ C } }_{ n }{ a }^{ n }
3.द्विपद प्रमेय के अन्य महत्त्वपूर्ण रूप (Various Important Forms of Binomial Theorem),द्विपद प्रमेय सूत्र (Binomial Theorem formula,Formula for Binomial Theorem,Binomial Expansion Formula)-
(1.){ \left( x+a \right) }^{ n }={ { n }_{ C } }_{ 0 }{ x }^{ n }+{ { n }_{ C } }_{ 1 }{ x }^{ n-1 }a+{ { n }_{ C } }_{ 2 }{ x }^{ n-2 }{ a }^{ 2 }+........+{ { n }_{ C } }_{ r }{ x }^{ n-r }{ a }^{ r }+..........+{ { n }_{ C } }_{ n }{ a }^{ n }............(1)
(2.) (1) में a के स्थान पर (-a) प्रतिस्थापित करने पर-
{ \left( x-a \right) }^{ n }={ { n }_{ C } }_{ 0 }{ x }^{ n }-{ { n }_{ C } }_{ 1 }{ x }^{ n-1 }a+{ { n }_{ C } }_{ 2 }{ x }^{ n-2 }{ a }^{ 2 }-........+{ \left( -1 \right) }^{ r }{ { n }_{ C } }_{ r }{ x }^{ n-r }{ a }^{ r }+..........+{ \left( -1 \right) }^{ n }{ { n }_{ C } }_{ n }{ a }^{ n }.............(2)
(3.) (1) में a तथा x को परस्पर बदलने पर-
{ \left( a+x \right) }^{ n }={ { n }_{ C } }_{ 0 }{ a }^{ n }+{ { n }_{ C } }_{ 1 }{ a }^{ n-1 }x+{ { n }_{ C } }_{ 2 }{ a }^{ n-2 }{ x }^{ 2 }+........+{ { n }_{ C } }_{ r }{ a }^{ n-r }{ x }^{ r }+..........+{ { n }_{ C } }_{ n }{ x }^{ n }............(3)
(4.) (3) में x के स्थान पर (-x) रखने पर-
{ \left( a-x \right) }^{ n }={ { n }_{ C } }_{ 0 }{ a }^{ n }-{ { n }_{ C } }_{ 1 }{ a }^{ n-1 }x+{ { n }_{ C } }_{ 2 }{ a }^{ n-2 }{ x }^{ 2 }-........+{ \left( -1 \right) }^{ r }{ { n }_{ C } }_{ r }{ a }^{ n-r }{ x }^{ r }+..........+{ \left( -1 \right) }^{ n }{ { n }_{ C } }_{ n }{ x }^{ n }..........(4)
(5.) (1) में x=1 तथा a=x रखने पर-
{ \left( 1+x \right) }^{ n }=1+{ { n }_{ C } }_{ 1 }x+{ { n }_{ C } }_{ 2 }{ x }^{ 2 }+........+{ { n }_{ C } }_{ r }{ x }^{ r }+..........+{ x }^{ n }.........(5)
(6.) (1) में x=1 तथा a=-x रखने पर-
{ \left( 1-x \right) }^{ n }=1-{ { n }_{ C } }_{ 1 }x+{ { n }_{ C } }_{ 2 }{ x }^{ 2 }-........+{ \left( -1 \right) }^{ r }{ { n }_{ C } }_{ r }{ x }^{ r }+..........+{ \left( -1 \right) }^{ n }{ x }^{ n }........(6)
4.द्विपद प्रमेय उदाहरण (Binomial Theorem Examples)-
निम्नलिखित में प्रत्येक द्विपद व्यंजक का विस्तार कीजिए (Expand each binomial expression in the following)
Example-1.{ \left( 2-x \right) }^{ 3 }
Solution-{ \left( 2-x \right) }^{ 3 }\\ ={ 2 }^{ 3 }-{ ^{ 3 }{ c } }_{ 1 }{ \left( 2 \right) }^{ 2 }x+{ ^{ 3 }{ c } }_{ 2 }\left( 2 \right) { x }^{ 2 }-{ x }^{ 3 }\\ =8-3\left( 4 \right) x+3\left( 2 \right) { x }^{ 2 }-{ x }^{ 3 }\\ =8-12x+6{ x }^{ 2 }-{ x }^{ 3 }
Example-2.{ \left( \frac { 2 }{ x } -\frac { x }{ 2 } \right) }^{ 5 }
Solution-{ \left( \frac { 2 }{ x } -\frac { x }{ 2 } \right) }^{ 5 }\\ ={ \left( \frac { 2 }{ x } \right) }^{ 5 }-{ ^{ 5 }{ c } }_{ 1 }{ \left( \frac { 2 }{ x } \right) }^{ 4 }\left( \frac { x }{ 2 } \right) +{ ^{ 5 }{ c } }_{ 2 }{ \left( \frac { 2 }{ x } \right) }^{ 3 }{ \left( \frac { x }{ 2 } \right) }^{ 2 }-{ ^{ 5 }{ c } }_{ 3 }{ \left( \frac { 2 }{ x } \right) }^{ 2 }{ \left( \frac { x }{ 2 } \right) }^{ 3 }+{ ^{ 5 }{ c } }_{ 4 }\left( \frac { 2 }{ x } \right) { \left( \frac { x }{ 2 } \right) }^{ 4 }-{ \left( \frac { x }{ 2 } \right) }^{ 5 }\\ =\frac { 32 }{ { x }^{ 5 } } -5\left( \frac { 16 }{ { x }^{ 4 } } \right) \left( \frac { x }{ 2 } \right) +10\left( \frac { 8 }{ { x }^{ 3 } } \right) \left( \frac { { x }^{ 2 } }{ 4 } \right) -10\left( \frac { 4 }{ { x }^{ 2 } } \right) \left( \frac { { x }^{ 3 } }{ 8 } \right) +5\left( \frac { 2 }{ x } \right) \left( \frac { { x }^{ 4 } }{ 16 } \right) -\frac { { x }^{ 5 } }{ 32 } \\ =\frac { 32 }{ { x }^{ 5 } } -\frac { 40 }{ { x }^{ 3 } } +\frac { 20 }{ x } -5x+\frac { 5 }{ 8 } { x }^{ 3 }-\frac { { x }^{ 5 } }{ 32 }
Example-3.{ \left( \frac { x }{ 3 } +\frac { 1 }{ x } \right) }^{ 6 }
Solution-{ \left( \frac { x }{ 3 } +\frac { 1 }{ x } \right) }^{ 6 }\\ ={ \left( \frac { x }{ 3 } \right) }^{ 6 }+{ ^{ 6 }{ c } }_{ 1 }{ \left( \frac { x }{ 3 } \right) }^{ 5 }\left( \frac { 1 }{ x } \right) +{ ^{ 6 }{ c } }_{ 2 }{ \left( \frac { x }{ 3 } \right) }^{ 4 }{ \left( \frac { 1 }{ x } \right) }^{ 2 }+{ ^{ 6 }{ c } }_{ 3 }{ \left( \frac { x }{ 3 } \right) }^{ 3 }{ \left( \frac { 1 }{ x } \right) }^{ 3 }+{ ^{ 6 }{ c } }_{ 4 }{ \left( \frac { x }{ 3 } \right) }^{ 2 }{ \left( \frac { 1 }{ x } \right) }^{ 4 }+{ ^{ 6 }{ c } }_{ 5 }\left( \frac { x }{ 3 } \right) { \left( \frac { 1 }{ x } \right) }^{ 5 }+{ \left( \frac { 1 }{ x } \right) }^{ 6 }\\ =\frac { { x }^{ 6 } }{ 729 } +6\left( \frac { { x }^{ 5 } }{ 243 } \right) \left( \frac { 1 }{ x } \right) +15\left( \frac { { x }^{ 4 } }{ 81 } \right) \left( \frac { 1 }{ { x }^{ 2 } } \right) +20\left( \frac { { x }^{ 3 } }{ 27 } \right) \left( \frac { 1 }{ { x }^{ 3 } } \right) +15\left( \frac { { x }^{ 2 } }{ 9 } \right) \left( \frac { 1 }{ { x }^{ 4 } } \right) +6\left( \frac { x }{ 3 } \right) \left( \frac { 1 }{ { x }^{ 5 } } \right) +\frac { 1 }{ { x }^{ 6 } } \\ =\frac { { x }^{ 6 } }{ 729 } +\frac { 2 }{ 81 } { x }^{ 4 }+\frac { 5 }{ 27 } { x }^{ 2 }+\frac { 20 }{ 27 } +\frac { 5 }{ 3{ x }^{ 2 } } +\frac { 2 }{ { x }^{ 4 } } +\frac { 1 }{ { x }^{ 6 } }
द्विपद प्रमेय का प्रयोग करके निम्नलिखित का मान ज्ञात कीजिए (Find the value of the following using binomial theorem)-
Example-4.{ \left( 101 \right) }^{ 4 }
Solution-{ \left( 101 \right) }^{ 4 }\\ { \left( 100+1 \right) }^{ 4 }\\ ={ \left( 100 \right) }^{ 4 }+{ ^{ 4 }{ c } }_{ 1 }{ \left( 100 \right) }^{ 3 }\left( 1 \right) +{ ^{ 4 }{ c } }_{ 2 }{ \left( 100 \right) }^{ 2 }{ \left( 1 \right) }^{ 2 }+{ ^{ 4 }{ c } }_{ 3 }\left( 100 \right) { \left( 1 \right) }^{ 3 }+{ \left( 1 \right) }^{ 4 }
=100000000+4000000+60000+400+1
=104060401
Example-5.{ \left( 1.1 \right) }^{ 6 }
Solution-{ \left( 1.1 \right) }^{ 6 }\\ { \left( 1+0.1 \right) }^{ 6 }\\ { \left( 1 \right) }^{ 6 }+{ ^{ 6 }{ c } }_{ 1 }{ \left( 1 \right) }^{ 5 }\left( 0.1 \right) +{ ^{ 6 }{ c } }_{ 2 }{ \left( 1 \right) }^{ 4 }{ \left( 0.1 \right) }^{ 2 }+{ ^{ 6 }{ c } }_{ 3 }{ \left( 1 \right) }^{ 3 }{ \left( 0.1 \right) }^{ 3 }+{ ^{ 6 }{ c } }_{ 4 }{ \left( 1 \right) }^{ 2 }{ \left( 0.1 \right) }^{ 4 }+{ ^{ 6 }{ c } }_{ 5 }\left( 1 \right) { \left( 0.1 \right) }^{ 5 }+{ \left( 0.1 \right) }^{ 6 }
=1+6(0.1)+15(0.01)+20(0.001)+15(0.0001)+6(0.00001)+0.000001
=1+0.6+0.15+0.020+0.0015+0.00006+0.000001
=1.771561
Example-6. द्विपद प्रमेय का प्रयोग करते हुए बताइए कौनसी संख्या बड़ी है { \left( 1.1 \right) }^{ 10000 } या 1000
Solution-{ \left( 1+0.1 \right) }^{ 10000 }\\ { \left( 1 \right) }^{ 10000 }+{ ^{ 10000 }{ c } }_{ 1 }{ \left( 1 \right) }^{ 9999 }\left( 0.1 \right) +{ ^{ 10000 }{ c } }_{ 2 }{ \left( 1 \right) }^{ 9998 }{ \left( 0.1 \right) }^{ 2 }+.........+{ \left( 0.1 \right) }^{ 10000 }\\ =1+10000\left( 0.1 \right) +\frac { 10000\times 9999 }{ 2 } \times \left( 0.01 \right) +........+{ \left( 0.1 \right) }^{ 10000 }\\ =1001+50\times 9999+......+{ \left( 0.1 \right) }^{ 10000 }
अतः { \left( 1.1 \right) }^{ 10000 } बड़ी संख्या है।
Example-7.{ \left( a+b \right) }^{ 4 }-{ \left( a-b \right) }^{ 4 } का विस्तार कीजिए।इसका प्रयोग करके { \left( \sqrt { 3 } +\sqrt { 2 } \right) }^{ 4 }-{ \left( \sqrt { 3 } -\sqrt { 2 } \right) }^{ 4 } का मान ज्ञात कीजिए।
Solution-{ \left( a+b \right) }^{ 4 }-{ \left( a-b \right) }^{ 4 }\\ \left( { a }^{ 4 }+{ ^{ 4 }{ c } }_{ 1 }{ a }^{ 3 }b+{ ^{ 4 }{ c } }_{ 2 }{ a }^{ 2 }{ b }^{ 2 }+{ ^{ 4 }{ c } }_{ 3 }a{ b }^{ 3 }+{ b }^{ 4 } \right) -\left( { a }^{ 4 }-{ ^{ 4 }{ c } }_{ 1 }{ a }^{ 3 }b+{ ^{ 4 }{ c } }_{ 2 }{ a }^{ 2 }{ b }^{ 2 }-{ ^{ 4 }{ c } }_{ 3 }a{ b }^{ 3 }+{ b }^{ 4 } \right) \\ ={ a }^{ 4 }+4{ a }^{ 3 }b+6{ a }^{ 2 }{ b }^{ 2 }+4a{ b }^{ 3 }+{ b }^{ 4 }-\left( { a }^{ 4 }-4{ a }^{ 3 }b+6{ a }^{ 2 }{ b }^{ 2 }-4a{ b }^{ 3 }+{ b }^{ 4 } \right) \\ ={ a }^{ 4 }+4{ a }^{ 3 }b+6{ a }^{ 2 }{ b }^{ 2 }+4a{ b }^{ 3 }+{ b }^{ 4 }-{ a }^{ 4 }+4{ a }^{ 3 }b-6{ a }^{ 2 }{ b }^{ 2 }+4a{ b }^{ 3 }-{ b }^{ 4 }\\ =8{ a }^{ 3 }b+8a{ b }^{ 3 }\\ =8ab\left( { a }^{ 2 }+{ b }^{ 2 } \right) .............(1)\\ { \left( \sqrt { 3 } +\sqrt { 2 } \right) }^{ 4 }-{ \left( \sqrt { 3 } -\sqrt { 2 } \right) }^{ 4 }
समीकरण (1) में a=\sqrt { 3 } ,b=\sqrt { 2 } रखने पर-
=8\left( \sqrt { 3 } \right) \left( \sqrt { 2 } \right) \left[ { \left( \sqrt { 3 } \right) }^{ 2 }+{ \left( \sqrt { 2 } \right) }^{ 2 } \right] \\ =8\sqrt { 6 } \left( 3+2 \right) \\ =8\sqrt { 6 } \left( 5 \right) \\ =40\sqrt { 6 }
Example-8.{ \left( x+a \right) }^{ n } के विस्तार में यदि A विषम पदों का योग तथा B सम पदों का योग हो तो सिद्ध कीजिए:
(1){ \left( { x }^{ 2 }-{ a }^{ 2 } \right) }^{ n }={ A }^{ 2 }-{ B }^{ 2 }\\ (2){ \left( x+a \right) }^{ 2n }-{ \left( x-a \right) }^{ 2n }=4AB
Solution-(1){ \left( x+a \right) }^{ n }={ { n }_{ C } }_{ 0 }{ x }^{ n }+{ { n }_{ C } }_{ 1 }{ x }^{ n-1 }a+{ { n }_{ C } }_{ 2 }{ x }^{ n-2 }{ a }^{ 2 }+........+{ { n }_{ C } }_{ r }{ x }^{ n-r }{ a }^{ r }+..........+{ { n }_{ C } }_{ n }{ a }^{ n }\\ =[{ x }^{ n }+{ { n }_{ C } }_{ 2 }{ x }^{ n-2 }{ a }^{ 2 }+{ { n }_{ C } }_{ 4 }{ x }^{ n-4 }{ a }^{ 4 }+..........]+[{ { n }_{ C } }_{ 1 }{ x }^{ n-1 }a+{ { n }_{ C } }_{ 3 }{ x }^{ n-3 }{ a }^{ 3 }+........]
=[सभी विषम पदों का योग]+[सभी सम पदों का योग]
=A+B
{ \left( x+a \right) }^{ n }=A+B....(1)
इसी प्रकार { \left( x-a \right) }^{ n }=A-B....(2)
(1) व (2) को गुणा करने पर-
{ \left( x+a \right) }^{ n }{ \left( x-a \right) }^{ n }=(A+B)(A-B)\\ \Rightarrow { \left( x+a \right) }^{ n }{ \left( x-a \right) }^{ n }={ A }^{ 2 }-{ B }^{ 2 }
(2)पुनः { \left( x+a \right) }^{ 2n }-{ \left( x-a \right) }^{ 2n }={ [{ \left( x+a \right) }^{ n }] }^{ 2 }-{ [{ \left( x-a \right) }^{ n }] }^{ 2 }\\ =[{ \left( x+a \right) }^{ n }+{ \left( x-a \right) }^{ n }][{ \left( x+a \right) }^{ n }-{ \left( x-a \right) }^{ n }]\\ =[(A+B)+(A-B)][(A+B)-(A-B)]\\ =(2A)(2B)\\ { \left( x+a \right) }^{ 2n }-{ \left( x-a \right) }^{ 2n }=4AB
उपर्युक्त उदाहरणों से द्विपद प्रमेय (Binomial Theorem,Binomial Theorem of Class 11th) को समझ सकते हैं।
5.द्विपद प्रमेय के सवाल (Binomial Theorem Questions)-
निम्नलिखित में प्रत्येक द्विपद व्यंजक का प्रसार कीजिए (Expand each binomial expression in the following)-
(1){ \left( 3x+2y \right) }^{ 4 }\\ (2){ \left( \sqrt { \frac { x }{ a } } -\sqrt { \frac { 9 }{ x } } \right) }^{ 6 }\\ (3){ \left( 1+x+{ x }^{ 2 } \right) }^{ 4 }
द्विपद प्रमेय की सहायता से निम्नलिखित का मान ज्ञात कीजिए (Find the value of the following using binomial theorem)-
(4){ \left( 3+\sqrt { 2 } \right) }^{ 5 }-{ \left( 3-\sqrt { 2 } \right) }^{ 5 }\\ (5){ \left( 1.01 \right) }^{ 5 }+{ \left( 0.99 \right) }^{ 5 }
द्विपद प्रमेय से निम्नलिखित का मान ज्ञात कीजिए (Find the value of the following using binomial theorem)-
(6){ \left( 99 \right) }^{ 5 }\\ (7){ \left( 96 \right) }^{ 3 }\\ (8){ \left( 10.01 \right) }^{ 3 }
उत्तर-(1)81{ x }^{ 4 }+216{ x }^{ 3 }y+216{ x }^{ 2 }{ y }^{ 2 }+96x{ y }^{ 3 }+16{ y }^{ 4 }\\ (2)\frac { { x }^{ 3 } }{ { a }^{ 3 } } -\frac { 6{ x }^{ 2 } }{ { a }^{ 2 } } +\frac { 15x }{ a } -20+\frac { 15a }{ x } -\frac { 6{ a }^{ 2 } }{ { x }^{ 2 } } +\frac { { a }^{ 3 } }{ { x }^{ 3 } } \\ (3)1+4x+10{ x }^{ 2 }+16{ x }^{ 3 }+19{ x }^{ 4 }+16{ x }^{ 5 }+10{ x }^{ 6 }+4{ x }^{ 7 }+{ x }^{ 8 }\\ (4)1178\sqrt { 2 }
(5.) 2.0020001 (6.) 9509900499
(7.)884736 (8.)1003.003001
उपर्युक्त सवालों को हल करने पर द्विपद प्रमेय (Binomial Theorem,Binomial Theorem of Class 11th) को ठीक से समझ सकते हैं।
6.गणित में द्विपद समीकरण क्या है? (What is a binomial equation in math?)-
द्विपद प्रमेय, कथन है कि किसी भी धनात्मक पूर्णांक n के लिए, दो संख्या a और b के योग की { n }^{ th } घात को n + 1 के रूप में व्यक्त किया जा सकता है।
7.द्विपद प्रमेय में K क्या है? (What is K in Binomial Theorem?)-
एक द्विपद गुणांक के लिए प्रतीक है।ऊपरी सूचकांक n विस्तार का चरघातांक है;निचला सूचकांक k इंगित करता है कि किस पद की शुरुआत, k = 0. से होती है,उदाहरण के लिए, जब n = 5, प्रत्येक शब्द के विस्तार में { (a+b) }^{ 5 } इस तरह दिखाई देगा: { a }^{ 5-k }{ b }^{ k }।
8.द्विपद प्रमेय ट्रिक (Binomial Theorem tricks),आप एक द्विपद प्रमेय कैसे हल करते हैं? (How do you solve a binomial theorem?)-
अब द्विपदीय पर। हम सरल द्विपद a + b का उपयोग करेंगे,लेकिन यह कोई भी द्विपद हो सकता है।
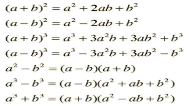
(1.){ (a+b) }^{ 2 }=(a+b)(a+b)={ a }^{ 2 }+2ab+{ b }^{ 2 }
(2.){ (a+b) }^{ 3 }=({ a }^{ 2 }+2ab+{ b }^{ 2 })(a+b)={ a }^{ 3 }+3{ a }^{ 2 }b+3a{ b }^{ 2 }+{ b }^{ 3 }
(3.){ (a+b) }^{ 4 }=(a+b)({ a }^{ 3 }+3{ a }^{ 2 }b+3a{ b }^{ 2 }+{ b }^{ 3 })\\ ={ a }^{ 4 }+4{ a }^{ 3 }b+6{ a }^{ 2 }{ b }^{ 2 }+4a{ b }^{ 3 }+{ b }^{ 4 }
अब, एक के घातांक को नोटिस करें।
इसी तरह b के चरघातांक ऊपर की ओर जाते हैं: 0, 1, 2, 3:
Also Read This Article:-Polar form of complex number class 11
| No. | Social Media | Url |
|---|---|---|
| 1. | click here | |
| 2. | you tube | click here |
| 3. | click here | |
| 4. | click here | |
| 5. | Facebook Page | click here |





