Properties of Definite Integrals
1.निश्चित समाकलों के गुणधर्म (Properties of Definite Integrals)-
निश्चित समाकलों के गुणधर्म (Properties of Definite Integrals) द्वारा फलनों का मान ज्ञात करना सीखेंगे। निश्चित समाकल का मान निश्चित होने के कारण समाकलन करने के बाद अचर c इसमें नहीं आएगा।
इससे पूर्व आर्टिकल में हमने निश्चित समाकल का मान ज्ञात करने के लिए उस फलन का ज्ञात विधियों जैसे-
(1.) मानक सूत्रों तथा उनमें रूपांतरण
(2.)प्रतिस्थापन
(3.)आंशिक भिन्न
(4.)खण्डश: समाकलन
का प्रयोग करके अनिश्चित समाकलन निकाल लिया जाता है फिर परिणाम में चर के स्थान पर उच्च सीमा और निम्न सीमा का मान निकालना सीखा था।
इस आर्टिकल में निश्चित समाकलों के गुणधर्मों का अध्ययन करने के पश्चात् उन गुणधर्मों के आधार पर निश्चित समाकलों का मान ज्ञात करना सीखेंगे।
कक्षा 12 के निश्चित समाकल के गुणधर्म (properties of definite integrals class 12)-
गुणधर्म-I अगर सीमाओं में परिवर्तन न किया जाए तो निश्चित समाकल में चर राशि बदलने से समाकल का मान नहीं बदलता है।
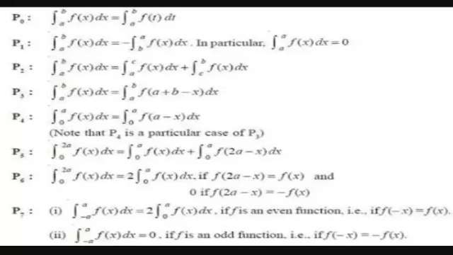
\int _{ a }^{ b }{ f\left( x \right) dx } =\int _{ a }^{ b }{ f\left( t \right) dt }
निश्चित समाकल गुणधर्म का प्रमाण (properties of definite integrals proof)-
प्रमाण (Proof): माना \int { f\left( x \right) dx } =F\left( x \right) \quad \therefore f\left( t \right) dt=F\left( t \right) \\ \int _{ a }^{ b }{ f\left( x \right) dx } ={ \left[ F\left( x \right) \right] }_{ a }^{ b }\\ \qquad =F\left( b \right) -F\left( a \right)
तथा \int _{ a }^{ b }{ f\left( t \right) dt } ={ \left[ F\left( t \right) \right] }_{ a }^{ b }\\ =F\left( b \right) -F\left( a \right) \\ =\int _{ a }^{ b }{ f\left( x \right) dx } \\ \therefore \int _{ a }^{ b }{ f\left( x \right) dx } =\int _{ a }^{ b }{ f\left( t \right) dt }
गुणधर्म-II निश्चित समाकल की सीमाओं को परस्पर बदलने से समाकल का मान तो नहीं बदलता परन्तु चिन्ह बदल जाता है।
अर्थात् \int _{ a }^{ b }{ f\left( x \right) dx } =-\int _{ b }^{ a }{ f\left( x \right) dx }
प्रमाण (Proof): माना
\int { f\left( x \right) dx } =F\left( x \right) \\ \therefore \int _{ b }^{ a }{ f\left( x \right) dx } ={ \left[ F\left( x \right) \right] }_{ a }^{ b }\\ =F\left( b \right) -F\left( a \right)
तथा \int _{ b }^{ a }{ f\left( x \right) dx } ={ \left[ F\left( x \right) \right] }_{ b }^{ a }\\ =F\left( a \right) -F\left( b \right) \\ =-\left[ F\left( b \right) -F\left( a \right) \right] \\ =-\int _{ a }^{ b }{ f\left( x \right) dx }
इस प्रकार \int _{ b }^{ a }{ f\left( x \right) dx } =-\int _{ a }^{ b }{ f\left( x \right) dx }
गुणधर्म-III अगर a<c<b
\int _{ a }^{ b }{ f\left( x \right) dx } =\int _{ a }^{ c }{ f\left( x \right) dx } +\int _{ c }^{ b }{ f\left( x \right) dx }
प्रमाण (Proof): माना\int { f\left( x \right) dx } =F\left( x \right) \\ \therefore \int { f\left( x \right) dx } ={ \left[ F\left( x \right) \right] }_{ a }^{ b }=F\left( b \right) -F\left( a \right)
पुनः \int _{ a }^{ c }{ f\left( x \right) dx } +\int _{ c }^{ b }{ f\left( x \right) dx } ={ \left[ F\left( x \right) \right] }_{ a }^{ c }+{ \left[ F\left( x \right) \right] }_{ c }^{ b }\\ =F\left( c \right) -F\left( a \right) +F\left( b \right) -F\left( c \right) \\ =F\left( b \right) -F\left( a \right)
(1) व (2) से-\int _{ a }^{ b }{ f\left( x \right) dx } =\int _{ a }^{ c }{ f\left( x \right) dx } +\int _{ c }^{ b }{ f\left( x \right) dx }
यदि a<{ c }_{ 1 }<{ c }_{ 2 }<.....................<{ c }_{ n }<b\\ \int _{ a }^{ b }{ f\left( x \right) dx } =\int _{ a }^{ { c }_{ 1 } }{ f\left( x \right) dx } +\int _{ { c }_{ 1 } }^{ { c }_{ 2 } }{ f\left( x \right) dx } +............+\int _{ { c }_{ n } }^{ b }{ f\left( x \right) dx }
गुणधर्म-IV \int _{ a }^{ b }{ f\left( x \right) dx } =\int _{ a }^{ b }{ f\left( a+b-x \right) dx }
प्रमाण (Proof): दायां पक्ष= \int _{ a }^{ b }{ f\left( a+b-x \right) dx }
माना a+b-x=y\Rightarrow -dx=dy
सीमाएं जब x=a तब y=b तथा जब x=b तब y=a
दायां पक्ष= \int _{ b }^{ a }{ f\left( y \right) (-dy) } =\int _{ a }^{ b }{ f\left( y \right) dy } [गुणधर्म-II से]
= \int _{ a }^{ b }{ f\left( x \right) dx } बायां पक्ष [गुणधर्म-I से]
अर्थात् \int _{ a }^{ b }{ f\left( x \right) dx } =\int _{ a }^{ b }{ f\left( a+b-x \right) dx }
गुणधर्म-V \int _{ 0 }^{ na }{ f\left( x \right) dx } =n\int _{ 0 }^{ a }{ f\left( x \right) dx } ,यदि फलन f(x),a आवर्तनांक का आवर्ती फलन है अर्थात् f(a+x)=f(x)
प्रमाण (Proof): गुणधर्म-III के अनुसार
\int _{ 0 }^{ na }{ f\left( x \right) dx } =\int _{ 0 }^{ a }{ f\left( x \right) dx } +\int _{ a }^{ 2a }{ f\left( x \right) dx } +\int _{ 2a }^{ 3a }{ f\left( x \right) dx } +..........+\int _{ \left( n-1 \right) a }^{ na }{ f\left( x \right) dx }
अब समाकल \int _{ a }^{ 2a }{ f\left( x \right) dx } में x=a+t रखने पर dx=dt
जब x=a,t=0 तथा x=2a,t=a
इसी प्रकार,दांये पक्ष के प्रत्येक समाकल में x=y+(निम्न सीमा) प्रतिस्थापित कर प्रत्येक का मान \int _{ 0 }^{ a }{ f\left( x \right) dx } के बराबर सिद्ध कर सकते हैं। चूंकि f(x),a आवर्तनांक का आवर्ती फलन है अतः
f\left( x \right) =f\left( x+a \right) =f\left( x+2a \right) =..........=f\left( x+na \right)
अतः बार \int _{ 0 }^{ na }{ f\left( x \right) dx } =\int _{ 0 }^{ a }{ f\left( x \right) dx } +\int _{ 0 }^{ a }{ f\left( x \right) dx } +...........+\int _{ 0 }^{ a }{ f\left( x \right) dx } =n\int _{ 0 }^{ a }{ f\left( x \right) dx }
गुणधर्म-VI \int _{ -a }^{ a }{ f\left( x \right) dx } =\{ \begin{matrix} 2\int _{ 0 }^{ a }{ f\left( x \right) dx } ;यदि\quad f(x)सम\quad फलन\quad हो\quad अर्थात्f(-x)=f(x) \\ 0;यदि\quad f(x)\quad विषम\quad फलन\quad हो\quad अर्थात्f(-x)=-f(x) \end{matrix}
प्रमाण (proof): गुणधर्म-III से
\int _{ -a }^{ a }{ f\left( x \right) dx } =\int _{ -a }^{ 0 }{ f\left( x \right) dx } +\int _{ 0 }^{ a }{ f\left( x \right) dx } \\ ={ I }_{ 1 }+\int _{ 0 }^{ a }{ f\left( x \right) dx } …(1)
जहां { I }_{ 1 }=\int _{ -a }^{ 0 }{ f\left( x \right) dx }
माना x=-y\Rightarrow dx=-dy
सीमाएं जब x=-a तो y=a,x=0 तो
{ I }_{ 1 }=\int _{ a }^{ 0 }{ -f\left( -y \right) dy } =\int _{ 0 }^{ a }{ f\left( -y \right) dy } [गुणधर्म-II से]
=\int _{ a }^{ a }{ f\left( -x \right) dx } [गुणधर्म-I से]
अतः समीकरण (1) से-
\int _{ -a }^{ a }{ f\left( x \right) dx } =\int _{ o }^{ a }{ f\left( -x \right) dx } +\int _{ 0 }^{ a }{ f\left( x \right) dx } ...(2)
स्थिति (i): जब f(x) सम फलन हो अर्थात् f(-x)=f(x)
तो \int _{ -a }^{ a }{ f\left( x \right) dx } =\int _{ 0 }^{ a }{ f\left( x \right) dx } +\int _{ 0 }^{ a }{ f\left( x \right) dx } =2\int _{ 0 }^{ a }{ f\left( x \right) dx }
स्थिति (ii): जब विषम फलन हो अर्थात् f(-x)=-f(x)
तो \int _{ -a }^{ a }{ f\left( x \right) dx } =-\int _{ 0 }^{ a }{ f\left( x \right) dx } +\int _{ 0 }^{ a }{ f\left( x \right) dx } =0
अतः \int _{ -a }^{ a }{ f\left( x \right) dx } =\{ \begin{matrix} 2\int _{ 0 }^{ a }{ f\left( x \right) dx } ;यदि\quad f(x)सम\quad फलन\quad हो\quad अर्थात्f(-x)=f(x) \\ 0;यदि\quad f(x)\quad विषम\quad फलन\quad हो\quad अर्थात्f(-x)=-f(x) \end{matrix}
गुणधर्म-VII \int _{ 0 }^{ 2a }{ f\left( x \right) dx } =\{ \begin{matrix} 2\int _{ 0 }^{ a }{ f\left( x \right) dx } ;यदिf(2a-x)=f(x) \\ 0;यदिf(2a-x)=-f(x) \end{matrix}
प्रमाण (Proof): \int _{ 0 }^{ 2a }{ f\left( x \right) dx } =\int _{ 0 }^{ a }{ f\left( x \right) dx } +\int _{ a }^{ 2a }{ f\left( x \right) dx } (गुणधर्म-III से ,\therefore 0<a<2a)
=\int _{ 0 }^{ a }{ f\left( x \right) dx } +{ I }_{ 1 }..............(1)
यहां { I }_{ 1 }=\int _{ 0 }^{ 2a }{ f\left( x \right) dx }
माना x=2a-y\Rightarrow dx=-dy जब x=a तो y=a व x=2a तो y=0
{ I }_{ 1 }=\int _{ a }^{ 0 }{ -f\left( 2a-y \right) dy } =\int _{ 0 }^{ a }{ f\left( 2a-y \right) dy } [गुणधर्म-II से]
=\int _{ 0 }^{ a }{ f\left( 2a-x \right) dx } [गुणधर्म-I से]
समीकरण (1) में { I }_{ 1 } का यह मान रखने पर-
\int _{ 0 }^{ 2a }{ f\left( x \right) dx } =\int _{ 0 }^{ a }{ f\left( x \right) dx } +\int _{ 0 }^{ a }{ f\left( 2a-x \right) dx }
स्थिति (i) जब f(2a-x)=f(x)
तो \int _{ 0 }^{ 2a }{ f\left( x \right) dx } =\int _{ 0 }^{ a }{ f\left( x \right) dx } +\int _{ 0 }^{ a }{ f\left( x \right) dx } \\ =2\int _{ 0 }^{ a }{ f\left( x \right) dx }
स्थिति (ii): जब f(2a-x)=-f(x)
तो \int _{ 0 }^{ 2a }{ f\left( x \right) dx } =\int _{ 0 }^{ a }{ f\left( x \right) dx } -\int _{ 0 }^{ a }{ f\left( x \right) dx } =0
अतः \int _{ 0 }^{ 2a }{ f\left( x \right) dx } =\{ \begin{matrix} 2\int _{ 0 }^{ a }{ f\left( x \right) dx } ;यदिf(2a-x)=f(x) \\ 0;यदिf(2a-x)=-f(x) \end{matrix}
यदि आप इस वेबसाइट पर पहली बार आए हैं तो वेबसाइट को फॉलो करें और ईमेल सब्सक्रिप्शन को भी फॉलो करें जिससे नए आर्टिकल का नोटिफिकेशन आपको मिल सके ।यदि आर्टिकल पसन्द आए तो अपने मित्रों के साथ शेयर और लाईक करें जिससे वे भी लाभ उठाए ।आपकी कोई समस्या हो या कोई सुझाव देना चाहते हैं तो कमेंट करके बताएं। इस आर्टिकल को पूरा पढ़ें।
Also Read This Article:-Integration with trigonometric substitution
2.महत्त्वपूर्ण मानक समाकल (Important Standard Integral)-
\int _{ 0 }^{ \frac { \pi }{ 2 } }{ \log { \sin { x } } dx } =-\frac { \pi }{ 2 } \log { 2 } =\int _{ 0 }^{ \frac { \pi }{ 2 } }{ \log { \cos { x } } dx }
Solution-माना I=\int _{ 0 }^{ \frac { \pi }{ 2 } }{ \log { \sin { x } } dx } ..........(1)\\ I=\int _{ 0 }^{ \frac { \pi }{ 2 } }{ \log { \sin { \left( \frac { \pi }{ 2 } -x \right) } } dx } [गुणधर्म-IV से]
I=\int _{ 0 }^{ \frac { \pi }{ 2 } }{ \log { \cos { x } } dx } ................(2)
(1) व (2) को जोड़ने पर-
2I=\int _{ 0 }^{ \frac { \pi }{ 2 } }{ [\log { \sin { x } + } \log { \cos { x } } ]\quad dx } \\ =\int _{ 0 }^{ \frac { \pi }{ 2 } }{ \log { \sin { x } \cos { x } } \quad dx } \\ =\int _{ 0 }^{ \frac { \pi }{ 2 } }{ \log { \frac { \sin { 2x } }{ 2 } } \quad dx } \\ =\int _{ 0 }^{ \frac { \pi }{ 2 } }{ \log { \sin { 2x } } \quad dx } -\log { 2 } \int _{ 0 }^{ \frac { \pi }{ 2 } }{ dx } \\ =\int _{ 0 }^{ \frac { \pi }{ 2 } }{ \log { \sin { 2x } } \quad dx } -\log { 2 } { \left[ x \right] }_{ 0 }^{ \frac { \pi }{ 2 } }\\ ={ I }_{ 1 }-\frac { \pi }{ 2 } \log { 2 } ..............(3)\\ { I }_{ 1 }=\int _{ 0 }^{ \frac { \pi }{ 2 } }{ \log { \sin { 2x } } dx } \\ 2x=t\Rightarrow dx=\frac { dt }{ 2 }
माना 2x=t\Rightarrow dx=\frac { dt }{ 2 }
सीमाएं जब x=0 तो t=0 तथा x=\frac { \pi }{ 2 } तो t=\pi
{ I }_{ 1 }=\frac { 1 }{ 2 } \int _{ 0 }^{ \frac { \pi }{ 2 } }{ \log { \sin { t } dt } } =\frac { 1 }{ 2 } \times 2\int _{ 0 }^{ \frac { \pi }{ 2 } }{ \log { \sin { t } } dt } [गुणधर्म-VII से]
[=\int _{ 0 }^{ \frac { \pi }{ 2 } }{ \log { \sin { x } } dx } [गुणधर्म-I से]=I [समीकरण (1) से]
समीकरण (3) से2I=I-\frac { \pi }{ 2 } \log _{ e }{ 2 } \\ \Rightarrow I=-\frac { \pi }{ 2 } \log _{ e }{ 2 }
या \int _{ 0 }^{ \frac { \pi }{ 2 } }{ \log { \sin { x } } dx } =\int _{ 0 }^{ \frac { \pi }{ 2 } }{ \log { \cos { x } } dx } =-\frac { \pi }{ 2 } \log { 2 } \\ \int _{ 0 }^{ \frac { \pi }{ 2 } }{ \log { cosecx } dx } =\int _{ 0 }^{ \frac { \pi }{ 2 } }{ \log { \sec { x } } dx } =\frac { \pi }{ 2 } \log { 2 }
3.निश्चित समाकलों के गुणधर्म के उदाहरण (Properties of Definite Integrals Examples)
Example-1.\int _{ -2 }^{ 2 }{ \left| 2x+3 \right| dx }
Solution-I=\int _{ -2 }^{ 2 }{ \left| 2x+3 \right| dx }
2x+3 का चिन्ह x के भिन्न-भिन्न मानों के अनुसार निम्न होगा-
\left| 2x+3 \right| =\{ \begin{matrix} -(2x+3),\qquad \qquad -2\le x\le -\frac { 3 }{ 2 } \\ (2x+3),\qquad \qquad -\frac { 3 }{ 2 } \le x\le 2 \end{matrix}\\ \therefore \int _{ -2 }^{ 2 }{ \left| 2x+3 \right| dx } =-\int _{ -2 }^{ -\frac { 3 }{ 2 } }{ (2x+3)dx } +\int _{ -\frac { 3 }{ 2 } }^{ 2 }{ (2x+3)dx } \\ =-{ \left[ { x }^{ 2 }+3x \right] }_{ -2 }^{ -\frac { 3 }{ 2 } }+{ \left[ { x }^{ 2 }+3x \right] }_{ -\frac { 3 }{ 2 } }^{ 2 }\\ =-[\frac { 9 }{ 4 } -\frac { 9 }{ 2 } -4+6]+[4+6-\frac { 9 }{ 4 } +\frac { 9 }{ 2 } ]\\ =-\frac { 9 }{ 4 } +\frac { 9 }{ 2 } +4-6+4+6-\frac { 9 }{ 4 } +\frac { 9 }{ 2 } \\ =-\frac { 9 }{ 2 } +9+8\\ =\frac { -9+18+16 }{ 2 } =\frac { 25 }{ 2 }
Example-2.\int _{ -\pi }^{ \pi }{ \frac { \sin { x } \cos { x } }{ 1+\cos ^{ 2 }{ x } } dx }
Solution-\int _{ -\pi }^{ \pi }{ \frac { \sin { x } \cos { x } }{ 1+\cos ^{ 2 }{ x } } dx } \\ f\left( x \right) =\frac { \sin { x } \cos { x } }{ 1+\cos ^{ 2 }{ x } } \\ \Rightarrow f\left( -x \right) =\frac { \sin { (-x) } \cos { (-x) } }{ 1+\cos ^{ 2 }{ (-x) } } =-\frac { \sin { x } \cos { x } }{ 1+\cos ^{ 2 }{ x } } \\ \Rightarrow f\left( -x \right) =-f\left( x \right)
f(x)=-f(x) विषम फलन है अतः
\int _{ -\pi }^{ \pi }{ \frac { \sin { x } \cos { x } }{ 1+\cos ^{ 2 }{ x } } dx } =0
Example-3.\int _{ -\frac { \pi }{ 4 } }^{ \frac { 3\pi }{ 4 } }{ \frac { \sqrt { \sin { x } } }{ \sqrt { \sin { x } } +\sqrt { \cos { x } } } } dx
Solution-\int _{ -\frac { \pi }{ 4 } }^{ \frac { 3\pi }{ 4 } }{ \frac { \sqrt { \sin { x } } }{ \sqrt { \sin { x } } +\sqrt { \cos { x } } } } dx\\ I= \int _{ -\frac { \pi }{ 4 } }^{ \frac { 3\pi }{ 4 } }{ \frac { \sqrt { \sin { x } } }{ \sqrt { \sin { x } } +\sqrt { \cos { x } } } } dx...............(1)\\ I= \int _{ -\frac { \pi }{ 4 } }^{ \frac { 3\pi }{ 4 } }{ \frac { \sqrt { \sin { \left( \frac { \pi }{ 2 } -x \right) } } }{ \sqrt { \sin { \left( \frac { \pi }{ 2 } -x \right) } } +\sqrt { \cos { \left( \frac { \pi }{ 2 } -x \right) } } } } dx\\ I= \int _{ -\frac { \pi }{ 4 } }^{ \frac { 3\pi }{ 4 } }{ \frac { \sqrt { \cos { x } } }{ \sqrt { \sin { x } } +\sqrt { \cos { x } } } } dx..............(2)
समीकरण (1) व (2) को जोड़ने पर-
2I=\int _{ -\frac { \pi }{ 4 } }^{ \frac { 3\pi }{ 4 } }{ \frac { \sqrt { \cos { x } } +\sqrt { \sin { x } } }{ \sqrt { \sin { x } } +\sqrt { \cos { x } } } } dx\\ 2I=\int _{ -\frac { \pi }{ 4 } }^{ \frac { 3\pi }{ 4 } }{ 1 } dx\\ I=\frac { 1 }{ 2 } { \left[ x \right] }_{ -\frac { \pi }{ 4 } }^{ \frac { 3\pi }{ 4 } }=\frac { 1 }{ 2 } \left[ \frac { 3\pi }{ 4 } +\frac { \pi }{ 4 } \right] =\frac { \pi }{ 2 }
Example-4.\int _{ 0 }^{ \frac { \pi }{ 2 } }{ \sin { 2x } \log { \tan { x } } dx }
Solution-I=\int _{ 0 }^{ \frac { \pi }{ 2 } }{ \sin { 2x } \log { \tan { x } } dx } ........(1)\\ I=\int _{ 0 }^{ \frac { \pi }{ 2 } }{ \sin { 2(\frac { \pi }{ 2 } -x) } \log { \tan { (\frac { \pi }{ 2 } -x) } } dx } \\ I=\int _{ 0 }^{ \frac { \pi }{ 2 } }{ \sin { (\pi -2x) } \log { \cot { x } } dx } \\ I=\int _{ 0 }^{ \frac { \pi }{ 2 } }{ \sin { 2x } \log { \cot { x } } dx } ............(2)
समीकरण (1) व (2) को जोड़ने पर-
2I=\int _{ 0 }^{ \frac { \pi }{ 2 } }{ \sin { 2x } [\log { \tan { x } } +\log { \cot { x } ] } dx } \\ 2I=\int _{ 0 }^{ \frac { \pi }{ 2 } }{ \sin { 2x } (\log { \tan { x\cot { x) } } } dx } \\ 2I=\int _{ 0 }^{ \frac { \pi }{ 2 } }{ \sin { 2x } (\log { 1 } )dx } \\ 2I=\int _{ 0 }^{ \frac { \pi }{ 2 } }{ \sin { 2x } (0)dx } \\ 2I=\int _{ 0 }^{ \frac { \pi }{ 2 } }{ 0dx } \\ I=0
Example-5.\int _{ -\frac { \pi }{ 4 } }^{ \frac { \pi }{ 4 } }{ \frac { \left( x+\frac { \pi }{ 4 } \right) }{ 2-cos{ 2x } } dx }
Solution-I=\int _{ -\frac { \pi }{ 4 } }^{ \frac { \pi }{ 4 } }{ \frac { \left( x+\frac { \pi }{ 4 } \right) }{ 2-cos{ 2x } } dx } \\ =\int _{ -\frac { \pi }{ 4 } }^{ \frac { \pi }{ 4 } }{ \frac { x }{ 2-cos{ 2x } } dx } +\int _{ -\frac { \pi }{ 4 } }^{ \frac { \pi }{ 4 } }{ \frac { \frac { \pi }{ 4 } }{ 2-cos{ 2x } } dx } \\ f\left( x \right) =\int _{ -\frac { \pi }{ 4 } }^{ \frac { \pi }{ 4 } }{ \frac { x }{ 2-cos{ 2x } } dx } \\ f\left( -x \right) =-\frac { x }{ 2-cos{ 2x } } \\ f\left( x \right) =-f\left( x \right) विषम फलन है अतः
\int _{ -\frac { \pi }{ 4 } }^{ \frac { \pi }{ 4 } }{ \frac { x }{ 2-cos{ 2x } } dx } =0\\ I=\frac { \pi }{ 4 } \int _{ -\frac { \pi }{ 4 } }^{ \frac { \pi }{ 4 } }{ \frac { 1 }{ 2-cos{ 2x } } dx } \\ I=\frac { \pi }{ 2 } \int _{ 0 }^{ \frac { \pi }{ 4 } }{ \frac { 1 }{ 2-cos{ 2x } } dx } [सम फलन है]
I=\frac { \pi }{ 2 } \int _{ 0 }^{ \frac { \pi }{ 4 } }{ \frac { 1 }{ 2+1-2\cos ^{ 2 }{ x } } dx } \\ I=\frac { \pi }{ 2 } \int _{ 0 }^{ \frac { \pi }{ 4 } }{ \frac { 1 }{ 3-2\cos ^{ 2 }{ x } } dx } \\ I=\frac { \pi }{ 2 } \int _{ 0 }^{ \frac { \pi }{ 4 } }{ \frac { \sec ^{ 2 }{ x } }{ 3\sec ^{ 2 }{ x } -2 } dx } \\ I=\frac { \pi }{ 2 } \int _{ 0 }^{ \frac { \pi }{ 4 } }{ \frac { \sec ^{ 2 }{ x } }{ 3(1+\tan ^{ 2 }{ x } )-2 } dx } \\ I=\frac { \pi }{ 2 } \int _{ 0 }^{ \frac { \pi }{ 4 } }{ \frac { \sec ^{ 2 }{ x } }{ 1+3\tan ^{ 2 }{ x } } dx } \\ put\quad \tan { x } =t\Rightarrow \sec ^{ 2 }{ x } dx=dt
when x=0 then t=0,when x=\frac { \pi }{ 4 } then t=1
I=\frac { \pi }{ 2 } \int _{ 0 }^{ \frac { \pi }{ 4 } }{ \frac { dt }{ 1+3{ t }^{ 2 } } dx } \\ I=\frac { \pi }{ 2 } \int _{ 0 }^{ \frac { \pi }{ 4 } }{ \frac { dt }{ 1+{ \left( \sqrt { 3 } t \right) }^{ 2 } } dx } \\ I=\frac { \pi }{ 2 } .\frac { 1 }{ \sqrt { 3 } } { [\tan ^{ -1 }{ \sqrt { 3 } t } ] }_{ 0 }^{ 1 }\\ =\frac { \pi }{ 2\sqrt { 3 } } .\frac { \pi }{ 3 } \\ =\frac { { \pi }^{ 2 } }{ 6\sqrt { 3 } }
उपर्युक्त उदाहरणों के द्वारा निश्चित समाकलों के गुणधर्म (Properties of Definite Integrals) को समझ सकते हैं।
4.निश्चित समाकलों के गुणधर्म की समस्याएं (Properties of Definite Integrals Problems)-
(1)\int _{ -1 }^{ 1 }{ \log { \left[ \frac { 2-x }{ 2+x } \right] } dx } \\ (2)\int _{ 0 }^{ \frac { \pi }{ 3 } }{ \frac { \sin { x } }{ \sin { x } +\cos { x } } dx } \\ (3)\int _{ 0 }^{ \frac { \pi }{ 2 } }{ \log { \sin { 2x } } dx } \\ (4)\int _{ 0 }^{ \pi }{ \log { (1-\cos { x } ) } dx } \\ (5)\int _{ 0 }^{ \frac { \pi }{ 2 } }{ (\tan { x+\cot { x } } )dx } \\ (6)\int _{ 0 }^{ \pi }{ x\sin ^{ 3 }{ x } dx } \\ (7)\int _{ -\frac { \pi }{ 2 } }^{ \frac { \pi }{ 2 } }{ \frac { \cos { x } }{ 1+{ e }^{ x } } dx } \\ (8)\int _{ 0 }^{ \pi }{ \frac { x }{ 1+\sin { x } } dx } \\ (9)\int _{ \frac { \pi }{ 6 } }^{ \frac { \pi }{ 3 } }{ \frac { dx }{ 1+\sqrt { \tan { x } } } } \\ (10)\int _{ 0 }^{ 1 }{ \log { (\frac { 1 }{ x } -1) } dx }
इन सवालों को हल करने पर निश्चित समाकलों के गुणधर्म (Properties of Definite Integrals) ओर ठीक से समझ आ जाएंगे।
5.निश्चित समाकल क्या है? (What is definite integration?)-
एक निश्चित समाकल एक समाकल है।(1) ऊपरी और निचली सीमाओं के साथ।यदि वास्तविक रेखा पर स्थित होने के लिए प्रतिबंधित है, तो निश्चित समाकल को रीमैन इंटीग्रल (जो प्राथमिक पाठ्यपुस्तकों में सामने आई सामान्य परिभाषा है) के रूप में जाना जाता है।
6.क्या निश्चित समाकल हमेशा धनात्मक है? (Is definite integral always positive?)-
अधिक स्पष्ट रूप से व्यक्त, निश्चित समाकल ऊपर के क्षेत्रों के योग में से नीचे के क्षेत्रों का योग को घटाने पर प्राप्त होता है। (निष्कर्ष: हालांकि क्षेत्र हमेशा धनात्मक होता है, निश्चित समाकल धनात्मक, ऋणात्मक या शून्य हो सकता है।)
7.समाकलन के मूल नियम क्या हैं? (What are basic rules of integration?)-
समाकलन के मूल नियम निम्न हैं-
(1.) मानक सूत्रों तथा उनमें रूपांतरण
(2.)प्रतिस्थापन
(3.)आंशिक भिन्न
(4.)खण्डश: समाकलन
8.क्या आप निश्चित रूप से समाकल गुणा कर सकते हैं?
Can you multiply definite integrals?)-
समाकल फलन हैं।आप दूसरे फ़ंक्शन के इनसाइड्स को एक फ़ंक्शन के इनसाइट्स (“इनसाइड”) से गुणा नहीं कर सकते।”सभी निश्चित समाकल हैं 0.” [a, b] पर कुछ निश्चित समाकल को देखते हुए, प्रतिस्थापन u =f [x-a-b] करें।समाकल तब [−ab,-ab] पर एक समाकल में बदल जाता है जो शून्य के बराबर होता है।
इन प्रश्नों के उत्तर द्वारा हमें निश्चित समाकलों के गुणधर्म (Properties of Definite Integrals) को समझने में ओर मदद मिल सकेगी।
Also Read This Article:-Integration of irrational algebraic function
| No. | Social Media | Url |
|---|---|---|
| 1. | click here | |
| 2. | you tube | click here |
| 3. | click here | |
| 4. | click here | |
| 5. | click here | |
| 6. | Facebook Page | click here |





