Length of curves
वक्रों की लम्बाईयाँ का परिचय (Introduction to Length of Curves),चापकलन का परिचय (Introduction to Rectification):
- समतल वक्रों की लम्बाईयाँ (Length of Curves):अवकलन गणित (Differential Calculus) में सिद्ध किए गए s के अवकल गुणांक को व्यक्त करने वाले किसी भी सूत्र का समाकलन करने पर s को ज्ञात करने का सूत्र प्राप्त होता है।नीचे आर्टिकल में समतल वक्रों की लम्बाईयाँ निकालने के लिए सूत्र पर प्रकाश डाला गया है।यह सूत्र वक्र की आकृति (shape) पर निर्भर करता है।
- आपको यह जानकारी रोचक व ज्ञानवर्धक लगे तो अपने मित्रों के साथ इस गणित के आर्टिकल को शेयर करें।यदि आप इस वेबसाइट पर पहली बार आए हैं तो वेबसाइट को फॉलो करें और ईमेल सब्सक्रिप्शन को भी फॉलो करें।जिससे नए आर्टिकल का नोटिफिकेशन आपको मिल सके । यदि आर्टिकल पसन्द आए तो अपने मित्रों के साथ शेयर और लाईक करें जिससे वे भी लाभ उठाए । आपकी कोई समस्या हो या कोई सुझाव देना चाहते हैं तो कमेंट करके बताएं।इस आर्टिकल को पूरा पढ़ें।
Also Read This Article:Arc length
वक्रों की लम्बाईयाँ (Length of Curves),चापकलन (Rectification):
- परिभाषा:किसी समतल वक्र के दो बिन्दुओं के बीच चाप (Arc) की लम्बाई ज्ञात करने की विधि को चापकलन (Rectification) कहते हैं।
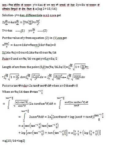
- वक्रों की लम्बाईयाँ (Length of Curves):
y=f(x) के रूप में कार्तीय समीकरणों के लिएःयदि किसी वक्र के किसी बिन्दु A,जिसके लिए x=aहै,से वक्र पर स्थित किसी अन्य बिन्दु P(x,y) तक के चाप (arc) की लम्बाई s हो तो अवकलन गणित से हम जानते हैं कि
\frac{ds}{dx}=\left\{1+\left(\frac{dy}{dx}\right)^{2}\right\}
उपर्युक्त का a से x की सीमाओं (limits) के मध्य समाकलन (Integration) करने पर:
\int_{a}^{x}\frac{ds}{dx}dx=\int_{a}^{x}\sqrt{1+\left(\frac{dy}{dx}\right)^{2}}dx
\Rightarrow[s]_{a}^{x}=S_{P}-S_{A}=\int_{a}^{x}\sqrt{1+\left(\frac{dy}{dx}\right)^{2}}dx
\Rightarrow{s}=\int_{a}^{x}\sqrt{1+\left(\frac{dy}{dx}\right)^{2}}dx
अतः यदि वक्र पर स्थित दो बिन्दुओं A तथा B के भुज (abscissac) क्रमशः a तथा b हों तो चाप की लम्बाई निम्नलिखित सूत्र द्वारा व्यक्त की जाएगी:
s=S_{B}-S_{A}=\int_{a}^{b}\sqrt{1+\left(\frac{dy}{dx}\right)^{2}}dx
- उपर्युक्त आर्टिकल में वक्रों की लम्बाईयाँ (Length of Curves),चापकलन (Rectification) के बारे में बताया गया है।
| No. | Social Media | Url |
|---|---|---|
| 1. | click here | |
| 2. | you tube | click here |
| 3. | click here | |
| 4. | click here | |
| 5. | Facebook Page | click here |
| 6. | click here |


