Change Independent Dependent variables
1.स्वतंत्र और परतन्त्र चर का परिवर्तन (Change Independent Dependent variables):
- स्वतंत्र और परतन्त्र चर का परिवर्तन (Change Independent Dependent variables) के इस आर्टिकल में बताया गया है कि स्वतंत्र (Independent Variable) तथा परतन्त्र (Dependent Variable) को किसी अन्य चर में कैसे बदला जा सकता है।
- आपको यह जानकारी रोचक व ज्ञानवर्धक लगे तो अपने मित्रों के साथ इस गणित के आर्टिकल को शेयर करें।यदि आप इस वेबसाइट पर पहली बार आए हैं तो वेबसाइट को फॉलो करें और ईमेल सब्सक्रिप्शन को भी फॉलो करें।जिससे नए आर्टिकल का नोटिफिकेशन आपको मिल सके । यदि आर्टिकल पसन्द आए तो अपने मित्रों के साथ शेयर और लाईक करें जिससे वे भी लाभ उठाए । आपकी कोई समस्या हो या कोई सुझाव देना चाहते हैं तो कमेंट करके बताएं।इस आर्टिकल को पूरा पढ़ें।
Also Read This Article:Change Independent Variable
2.स्वतंत्र और परतन्त्र चर का परिवर्तन (Change Independent Dependent variables),गणित में स्वतंत्र और परतन्त्र चर का परिवर्तन (change of independent and dependent variables in Math):
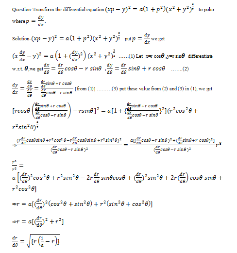
- जब अवकल समीकरण में चर स्वतंत्र और परतन्त्र चर दोनों को किसी अन्य चर में बदलने की आवश्यकता होती है, जिसके साथ वे किसी दिए गए संबंध से जुड़े होते हैं, उदाहरण के लिए, यदि y x का एक फ़ंक्शन है, तो इसे r में बदलने की इच्छा हो सकती है?हम एक प्रश्न को निम्नानुसार हल करेंगे।
- (when it is required in differential equation to change both the variable independent and dependent variable into another variables with which they are connected by a given relation,e.g. if y be a function of x ,it may be desired to change into r?we shall solve a question as follows)
- उपर्युक्त आर्टिकल में स्वतंत्र और परतन्त्र चर का परिवर्तन (Change Independent Dependent variables) के बारे में बताया गया है।
| No. | Social Media | Url |
|---|---|---|
| 1. | click here | |
| 2. | you tube | click here |
| 3. | click here | |
| 4. | click here | |
| 5. | Facebook Page | click here |
| 6. | click here |


